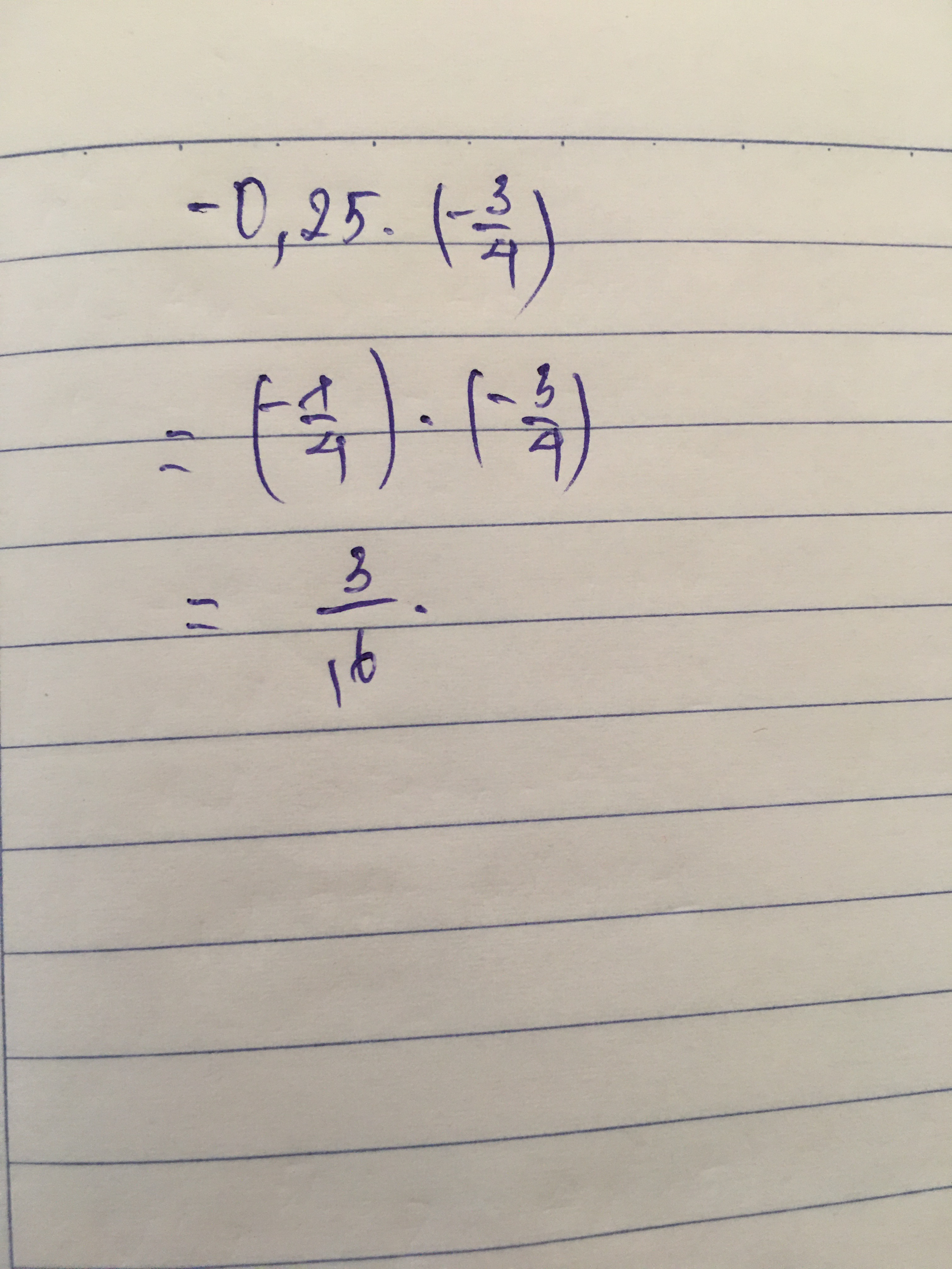
-0,25.-3/4
Quảng cáo
1 câu trả lời 193
Quảng cáo
Bạn cần hỏi gì?
Câu hỏi hot cùng chủ đề
-
Hỏi từ APP VIETJACK120962
-
Đã trả lời bởi chuyên gia
81713 -
Đã trả lời bởi chuyên gia
59651 -
Đã trả lời bởi chuyên gia
39669
Gửi báo cáo thành công!
