Quảng cáo
1 câu trả lời 7015

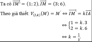
đó em.
Diệu Linh.A5
· 4 năm trước
sao IM lại bằng (3;6) và IM' = (1;2) vậy ạ
Diệp Nhật Lợi
· 4 năm trước
vẽ hình ra là thấy à em
Quảng cáo
Bạn cần hỏi gì?
Câu hỏi hot cùng chủ đề
-
Đã trả lời bởi chuyên gia
135777 -
Hỏi từ APP VIETJACK
Đã trả lời bởi chuyên gia
76796 -
Đã trả lời bởi chuyên gia
72454 -
Đã trả lời bởi chuyên gia
47944
Gửi báo cáo thành công!
