So sánh:2^101 và 5^40
giúp minh với![]()
Quảng cáo
4 câu trả lời 425
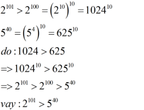
Ta có:
>=()=
<=()=
Do: >
=>2
_CHÚC BẠN HỌC TỐT<:''3_
Huyền Ngọcc
Trịnh Lê Đức Thịnh
· 4 năm trước
um
dùng máy tính là ra
2^101=2,535.....^30
5^40 =9,094...^27
=>2^101>5^40(Vì 30>27)
Quảng cáo
Bạn cần hỏi gì?
Câu hỏi hot cùng chủ đề
-
14149
-
Đã trả lời bởi chuyên gia
6342 -
5280
Gửi báo cáo thành công!

.