Bích Ngọcc
Hỏi từ APP VIETJACK
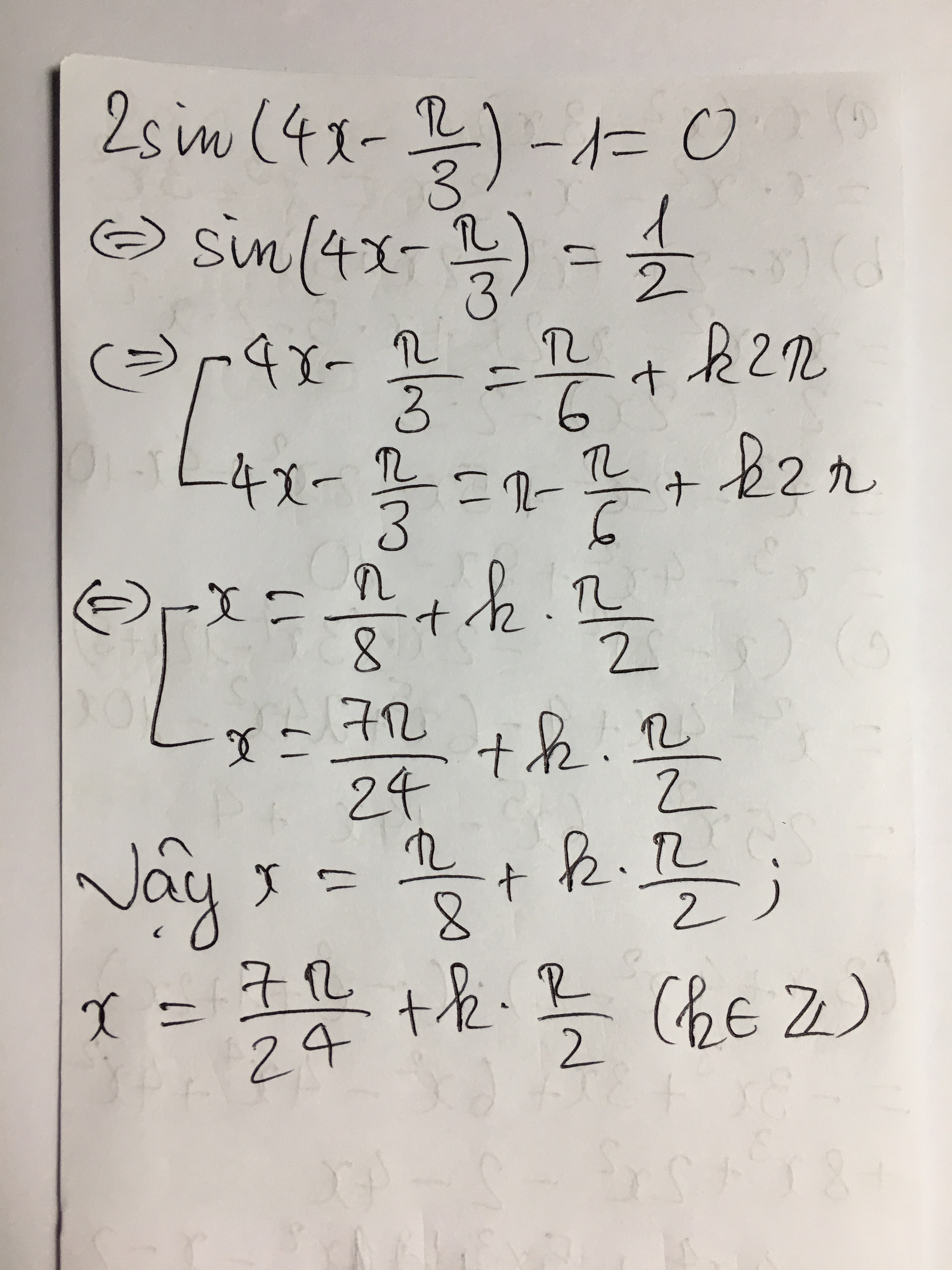
Giải các phương trình sau : 2sin (4x-π/3) -1=0
Rogger Nguyễn
· 3 năm trước
2sin(4x+π/6)=√2
Eo Chang Hy
· 2 năm trước
Có thể giải và nói chỉ tiết,cụ thể hơn được không ạ
Quảng cáo
6 câu trả lời 8919
4 năm trước
Mình ko thể chèn ảnh lên được mình xin được giải thích cho bạn tại sao lại làm như vậy.
Đầu tiên bạn hãy xem 2sin (4X-π/3)=0 là 2X-1=0 thì chuyển vế đổi dấu
Sin(4X-π/3)=1/2. Sau đó chuyển thành rad, áp dụng công thức sinX= sin anpha sẽ được 4X-π/3= π/6 +k2π và 4X-π/3= π-π/6+k2π
Chuyển -π/3 qua vế phải thì đổi dấu sẽ được 4X= π/2+k2π và 7π/4 + k2π
Ta thấy ở vế trái vẫn còn 4X để lm mất nó thì vế phải mình/4 thì sẽ được như kết quả cuối cùng của mấy chị đã làm
Lưu ý: đối với trường hợp vd X/2 thì bạn phải đem nhân bởi vì sao x/2 như là 1/2 thì khi chia thì là nhân nghịch đảo. Làm sao cx đc nhưng khi làm để làm cho nhanh gọn thì mình đem nhân luôn đỡ mất thời gian
Do mình ko thể tải ảnh lên nên hơi khó hiểu một chút bạn cố gắng thì sẽ làm được những bài khác.Chúc bạn làm tốt
Đầu tiên bạn hãy xem 2sin (4X-π/3)=0 là 2X-1=0 thì chuyển vế đổi dấu
Sin(4X-π/3)=1/2. Sau đó chuyển thành rad, áp dụng công thức sinX= sin anpha sẽ được 4X-π/3= π/6 +k2π và 4X-π/3= π-π/6+k2π
Chuyển -π/3 qua vế phải thì đổi dấu sẽ được 4X= π/2+k2π và 7π/4 + k2π
Ta thấy ở vế trái vẫn còn 4X để lm mất nó thì vế phải mình/4 thì sẽ được như kết quả cuối cùng của mấy chị đã làm
Lưu ý: đối với trường hợp vd X/2 thì bạn phải đem nhân bởi vì sao x/2 như là 1/2 thì khi chia thì là nhân nghịch đảo. Làm sao cx đc nhưng khi làm để làm cho nhanh gọn thì mình đem nhân luôn đỡ mất thời gian
Do mình ko thể tải ảnh lên nên hơi khó hiểu một chút bạn cố gắng thì sẽ làm được những bài khác.Chúc bạn làm tốt
4 năm trước
Mình ko thể chèn ảnh lên được mình xin được giải thích cho bạn tại sao lại làm như vậy.
Đầu tiên bạn hãy xem 2sin (4X-π/3)=0 là 2X-1=0 thì chuyển vế đổi dấu
Sin(4X-π/3)=1/2. Sau đó chuyển thành rad, áp dụng công thức sinX= sin anpha sẽ được 4X-π/3= π/6 +k2π và 4X-π/3= π-π/6+k2π
Chuyển -π/3 qua vế phải thì đổi dấu sẽ được 4X= π/2+k2π và 7π/4 + k2π
Ta thấy ở vế trái vẫn còn 4X để lm mất nó thì vế phải mình/4 thì sẽ được như kết quả cuối cùng của mấy chị đã làm
Lưu ý: đối với trường hợp vd X/2 thì bạn phải đem nhân bởi vì sao x/2 như là 1/2 thì khi chia thì là nhân nghịch đảo. Làm sao cx đc nhưng khi làm để làm cho nhanh gọn thì mình đem nhân luôn đỡ mất thời gian
Do mình ko thể tải ảnh lên nên hơi khó hiểu một chút bạn cố gắng thì sẽ làm được những bài khác.Chúc bạn làm tốt
Đầu tiên bạn hãy xem 2sin (4X-π/3)=0 là 2X-1=0 thì chuyển vế đổi dấu
Sin(4X-π/3)=1/2. Sau đó chuyển thành rad, áp dụng công thức sinX= sin anpha sẽ được 4X-π/3= π/6 +k2π và 4X-π/3= π-π/6+k2π
Chuyển -π/3 qua vế phải thì đổi dấu sẽ được 4X= π/2+k2π và 7π/4 + k2π
Ta thấy ở vế trái vẫn còn 4X để lm mất nó thì vế phải mình/4 thì sẽ được như kết quả cuối cùng của mấy chị đã làm
Lưu ý: đối với trường hợp vd X/2 thì bạn phải đem nhân bởi vì sao x/2 như là 1/2 thì khi chia thì là nhân nghịch đảo. Làm sao cx đc nhưng khi làm để làm cho nhanh gọn thì mình đem nhân luôn đỡ mất thời gian
Do mình ko thể tải ảnh lên nên hơi khó hiểu một chút bạn cố gắng thì sẽ làm được những bài khác.Chúc bạn làm tốt
4 năm trước
Mình ko thể chèn ảnh lên được mình xin được giải thích cho bạn tại sao lại làm như vậy.
Đầu tiên bạn hãy xem 2sin (4X-π/3)=0 là 2X-1=0 thì chuyển vế đổi dấu
Sin(4X-π/3)=1/2. Sau đó chuyển thành rad, áp dụng công thức sinX= sin anpha sẽ được 4X-π/3= π/6 +k2π và 4X-π/3= π-π/6+k2π
Chuyển -π/3 qua vế phải thì đổi dấu sẽ được 4X= π/2+k2π và 7π/4 + k2π
Ta thấy ở vế trái vẫn còn 4X để lm mất nó thì vế phải mình/4 thì sẽ được như kết quả cuối cùng của mấy chị đã làm
Lưu ý: đối với trường hợp vd X/2 thì bạn phải đem nhân bởi vì sao x/2 như là 1/2 thì khi chia thì là nhân nghịch đảo. Làm sao cx đc nhưng khi làm để làm cho nhanh gọn thì mình đem nhân luôn đỡ mất thời gian
Do mình ko thể tải ảnh lên nên hơi khó hiểu một chút bạn cố gắng thì sẽ làm được những bài khác.Chúc bạn làm tốt
Đầu tiên bạn hãy xem 2sin (4X-π/3)=0 là 2X-1=0 thì chuyển vế đổi dấu
Sin(4X-π/3)=1/2. Sau đó chuyển thành rad, áp dụng công thức sinX= sin anpha sẽ được 4X-π/3= π/6 +k2π và 4X-π/3= π-π/6+k2π
Chuyển -π/3 qua vế phải thì đổi dấu sẽ được 4X= π/2+k2π và 7π/4 + k2π
Ta thấy ở vế trái vẫn còn 4X để lm mất nó thì vế phải mình/4 thì sẽ được như kết quả cuối cùng của mấy chị đã làm
Lưu ý: đối với trường hợp vd X/2 thì bạn phải đem nhân bởi vì sao x/2 như là 1/2 thì khi chia thì là nhân nghịch đảo. Làm sao cx đc nhưng khi làm để làm cho nhanh gọn thì mình đem nhân luôn đỡ mất thời gian
Do mình ko thể tải ảnh lên nên hơi khó hiểu một chút bạn cố gắng thì sẽ làm được những bài khác.Chúc bạn làm tốt
Quảng cáo
Bạn muốn hỏi bài tập?
Câu hỏi hot cùng chủ đề
Gửi báo cáo thành công!


