Thuý Hằngg
Hỏi từ APP VIETJACK
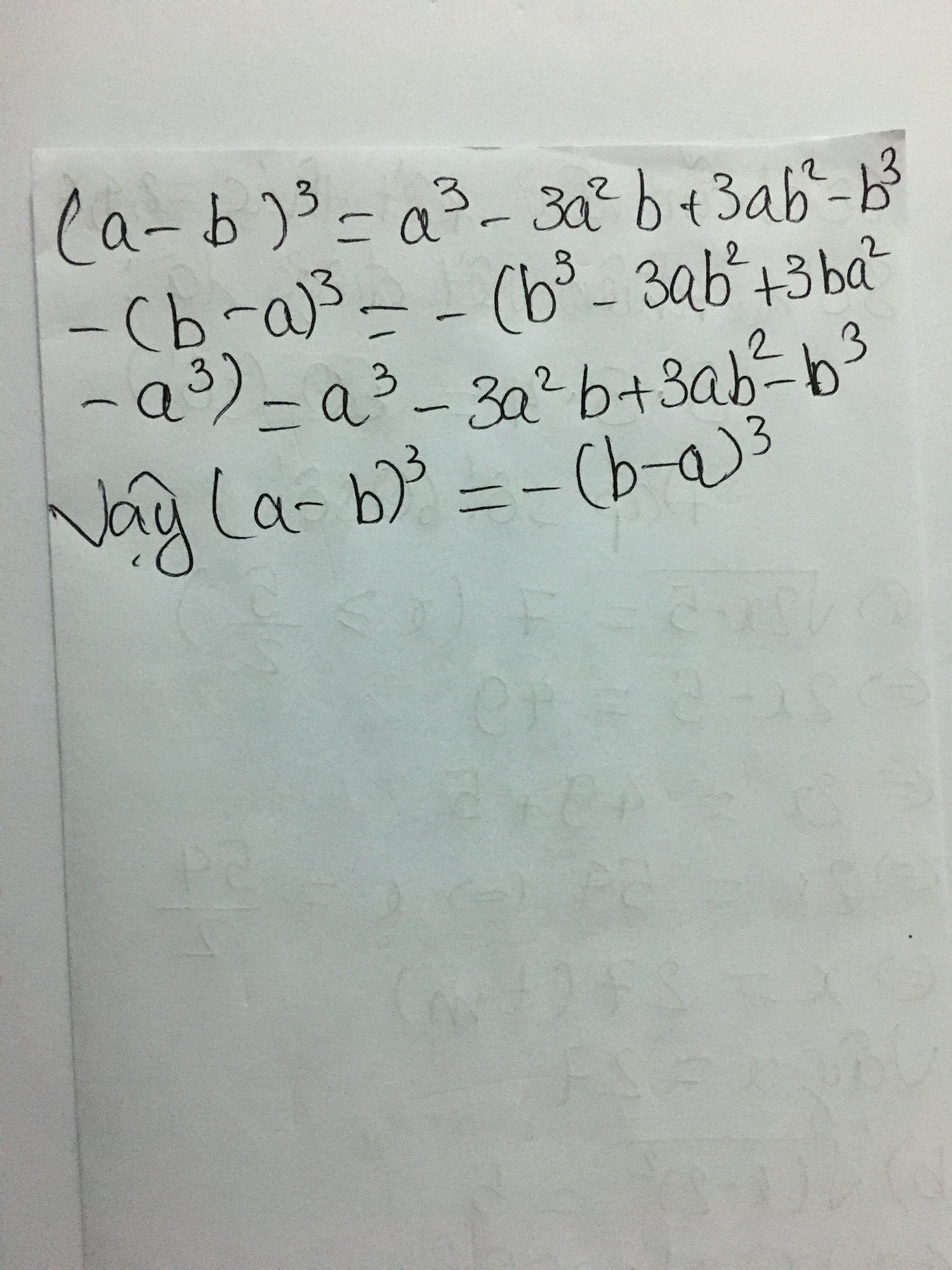
Chứng minh:
(a-b)^3=-(b-a)^3
(a-b)^3=-(b-a)^3
Quảng cáo
1 câu trả lời 1488
Quảng cáo
Bạn muốn hỏi bài tập?
Câu hỏi hot cùng chủ đề
-
107151
-
Hỏi từ APP VIETJACK67580
-
44957
-
38162
Gửi báo cáo thành công!

