Câu 1: Phân tích các đa thức sau thành nhân tử:
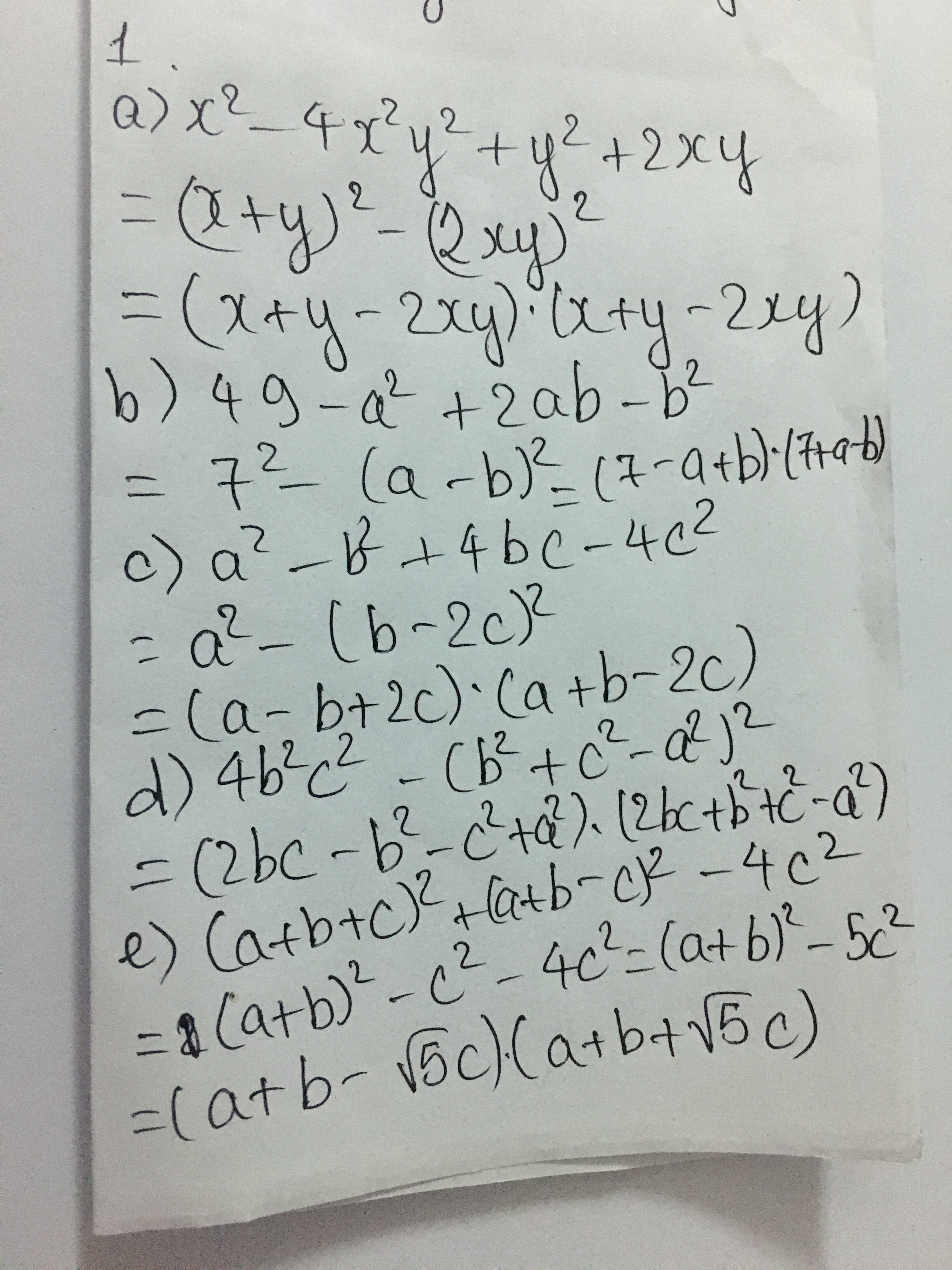
a) x^2 - 4x^2y^2 + y^2+ 2xy
b) 49 - a^2 + 2ab - b^2
c) a^2 - b^2 + 4bc - 4c^2
d) 4b^2c^2 - (b^2+c^2-a^2)^2
e)(a+b+c)^2 + (a+b-c)^2 - 4c^2
Câu 2: Phân tích các đa thức sau thành nhân tử:
a) xy + 3x - 7y - 21
b) 2xy - 15 - 6x + 5y
c) 2x^2 y + 2xy^2 - 2x - 2y
d) x^2 - ( a + b )x + ab
e) 7x^3 y - 3xyz - 21x^2 + 9z
f) 4x + 4y - x^2( x + y)
g)y^2 + y - x^2 + x
a) x^2 - 4x^2y^2 + y^2+ 2xy
b) 49 - a^2 + 2ab - b^2
c) a^2 - b^2 + 4bc - 4c^2
d) 4b^2c^2 - (b^2+c^2-a^2)^2
e)(a+b+c)^2 + (a+b-c)^2 - 4c^2
Câu 2: Phân tích các đa thức sau thành nhân tử:
a) xy + 3x - 7y - 21
b) 2xy - 15 - 6x + 5y
c) 2x^2 y + 2xy^2 - 2x - 2y
d) x^2 - ( a + b )x + ab
e) 7x^3 y - 3xyz - 21x^2 + 9z
f) 4x + 4y - x^2( x + y)
g)y^2 + y - x^2 + x
Quảng cáo
1 câu trả lời 3443
Quảng cáo
Bạn muốn hỏi bài tập?
Câu hỏi hot cùng chủ đề
-
107151
-
Hỏi từ APP VIETJACK67580
-
44957
-
38162
Gửi báo cáo thành công!

