Jack năng động
Hỏi từ APP VIETJACK
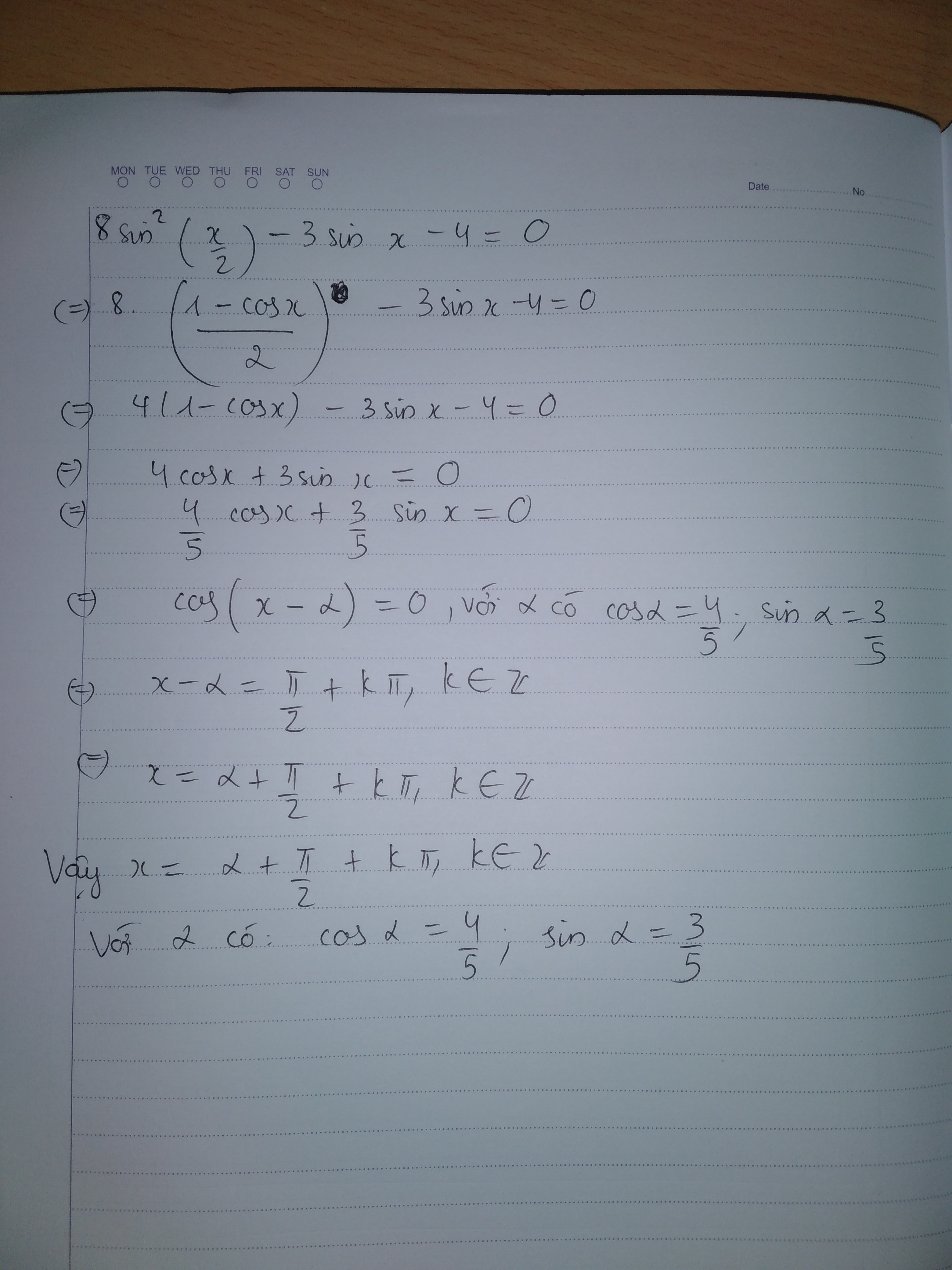
giải phương trình 8sin^2(x/2) -3sinx-4 = 0 ạ
Quảng cáo
1 câu trả lời 3478
4 năm trước
.
Jack năng động
· 4 năm trước
cho em hỏi làm sao mất bình phương với cả làm sao để mất mẫu mà bên phải không đổi vậy ạ?
Jack năng động
· 4 năm trước
với làm từ x/2 hạ bậc thành 1-cosx/2 vậy ạ
Quảng cáo
Bạn muốn hỏi bài tập?
Câu hỏi hot cùng chủ đề
Gửi báo cáo thành công!
