Quảng cáo
1 câu trả lời 7421
4 năm trước
Bài toán:
Giải phương trình:
![]()
Giải chi tiết:
Bước 1: Tính chất của hàm số
Ta có tính chất của hàm số :
![]()
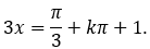
Do đó, từ phương trình
, ta suy ra:
![]()
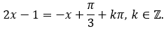
Bước 2: Giải phương trình
Giải phương trình:
![]()
Cộng x vào cả hai vế:
![]()
Rút gọn:
![]()
Chuyển vế -1:
![]()
Chia cả hai vế cho :

Rút gọn:

Bước 3: Kết luận nghiệm
Nghiệm tổng quát của phương trình là:

Bee Rumy
· 2 năm trước
điều kiện đâu ?
Quảng cáo
Bạn muốn hỏi bài tập?
Câu hỏi hot cùng chủ đề
Gửi báo cáo thành công!
