Nguyễn Thủy
Hỏi từ APP VIETJACK
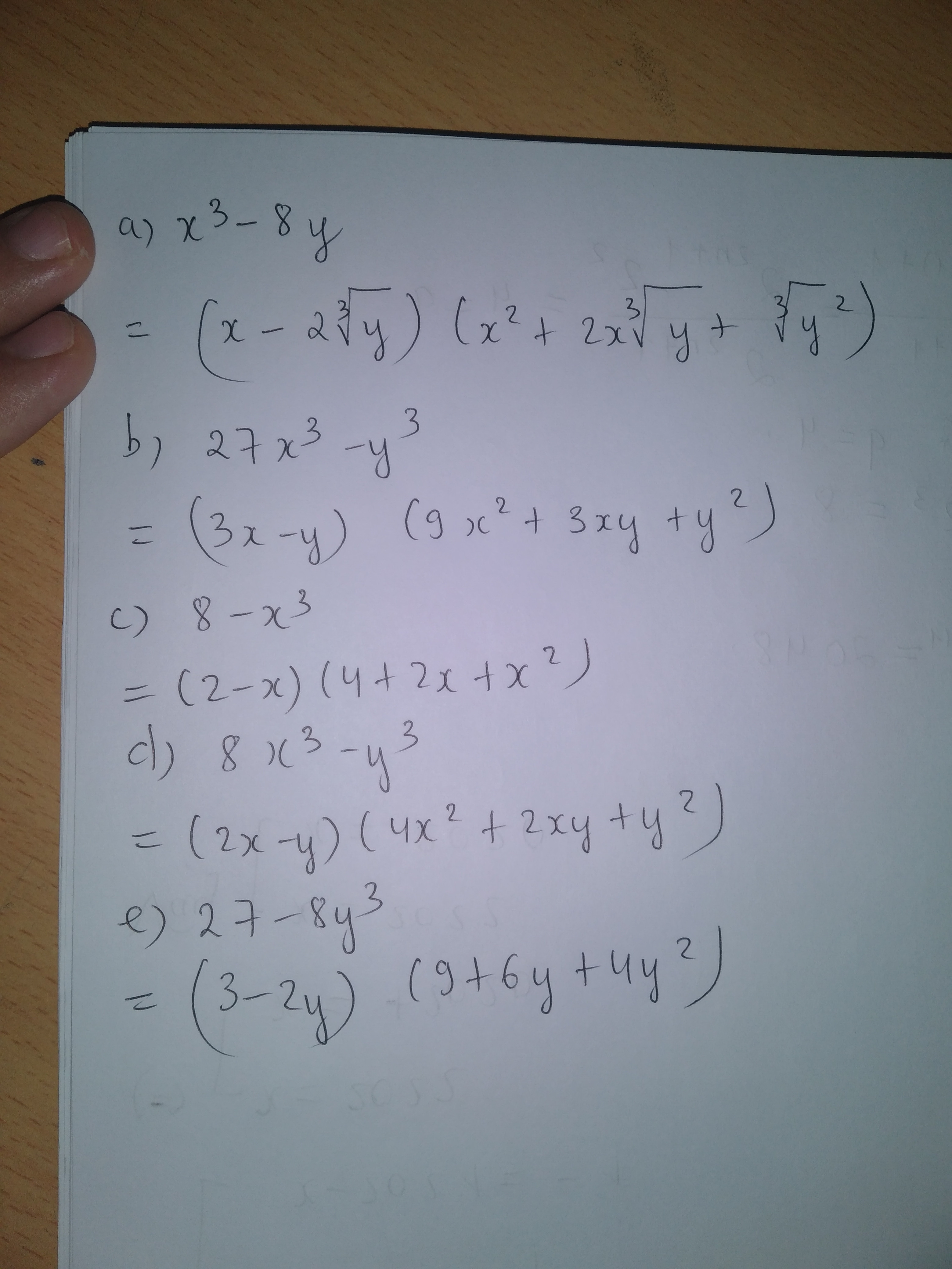
Khai triển hđt sau
x^3-8y
27x^3-y^3
8-x^3
8x^3-y^3
27-8y^3
Quảng cáo
1 câu trả lời 507
Quảng cáo
Bạn muốn hỏi bài tập?
Câu hỏi hot cùng chủ đề
-
107278
-
Hỏi từ APP VIETJACK67830
-
44998
-
38171
Gửi báo cáo thành công!

