Thư GửiBạn
Hỏi từ APP VIETJACK
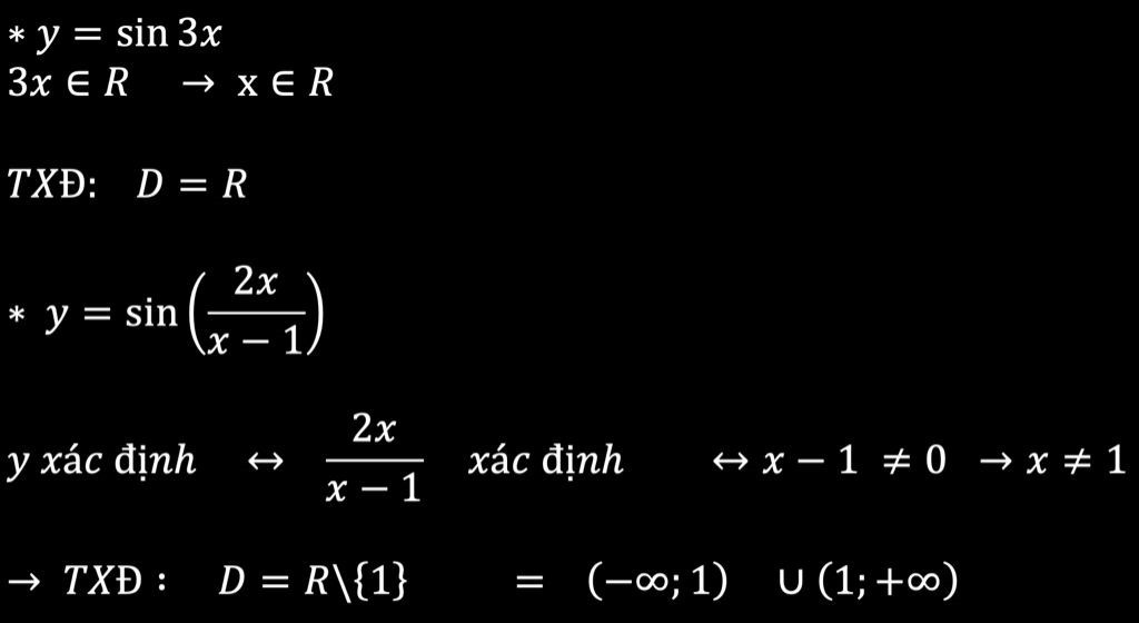
Tìm tập xác định y=sin3x
Quảng cáo
2 câu trả lời 1603
Quảng cáo
Bạn muốn hỏi bài tập?
Câu hỏi hot cùng chủ đề
Gửi báo cáo thành công!


