Quảng cáo
2 câu trả lời 40987
1. Vận tốc trung bình là gì?
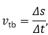
Vận tốc trung bình của một chuyển động được xác định bằng công thức:

trong đó:
- : Quãng đường đi được,
- : Thời gian vật thực hiện quãng đường đó.
Vận tốc trung bình đặc trưng cho độ lớn trung bình của chuyển động trên một khoảng thời gian nhất định. Nó không biểu thị vận tốc tức thời tại một thời điểm cụ thể.
2. Phân tích các đáp án
- a) Vận tốc của người đi bộ là 5 km/s:
Đây là vận tốc trung bình, vì biểu thị tốc độ trung bình của người đi bộ trong một khoảng thời gian trên một quãng đường xác định. - b) Khi ra khỏi nòng súng, vận tốc của viên đạn là 480 m/s:
Đây là vận tốc tức thời, vì nó mô tả vận tốc của viên đạn tại đúng thời điểm ra khỏi nòng súng. - c) Số chỉ của tốc kế gắn trên xe máy là 56 km/h:
Đây là vận tốc tức thời, vì tốc kế đo vận tốc của xe máy tại một thời điểm cụ thể. - d) Khi đi qua điểm A, vận tốc của vật là 10 m/s:
Đây cũng là vận tốc tức thời, vì nó mô tả vận tốc của vật tại chính điểm vào một thời điểm cụ thể.
3. Kết luận
Chỉ có trường hợp **a)** nói đến vận tốc trung bình, vì vận tốc đặc trưng cho tốc độ trung bình của người đi bộ trong một khoảng thời gian và quãng đường cụ thể.
![]()
1. Vận tốc trung bình là gì?
Vận tốc trung bình của một chuyển động được xác định bằng công thức:
trong đó:
Δs: Quãng đường đi được,
Δt: Thời gian vật thực hiện quãng đường đó.
Vận tốc trung bình đặc trưng cho độ lớn trung bình của chuyển động trên một khoảng thời gian nhất định. Nó không biểu thị vận tốc tức thời tại một thời điểm cụ thể.
2. Phân tích các đáp án
a) Vận tốc của người đi bộ là 5 km/s:
Đây là vận tốc trung bình, vì biểu thị tốc độ trung bình của người đi bộ trong một khoảng thời gian trên một quãng đường xác định.
b) Khi ra khỏi nòng súng, vận tốc của viên đạn là 480 m/s:
Đây là vận tốc tức thời, vì nó mô tả vận tốc của viên đạn tại đúng thời điểm ra khỏi nòng súng.
c) Số chỉ của tốc kế gắn trên xe máy là 56 km/h:
Đây là vận tốc tức thời, vì tốc kế đo vận tốc của xe máy tại một thời điểm cụ thể.
d) Khi đi qua điểm A, vận tốc của vật là 10 m/s:
Đây cũng là vận tốc tức thời, vì nó mô tả vận tốc của vật tại chính điểm vào một thời điểm cụ thể.
3. Kết luận
Chỉ có trường hợp **a)** nói đến vận tốc trung bình, vì vận tốc đặc trưng cho tốc độ trung bình của người đi bộ trong một khoảng thời gian và quãng đường cụ thể.
Quảng cáo
Bạn cần hỏi gì?
Câu hỏi hot cùng chủ đề
-
Đã trả lời bởi chuyên gia
153159 -
99700
-
Hỏi từ APP VIETJACK
Đã trả lời bởi chuyên gia
61104
