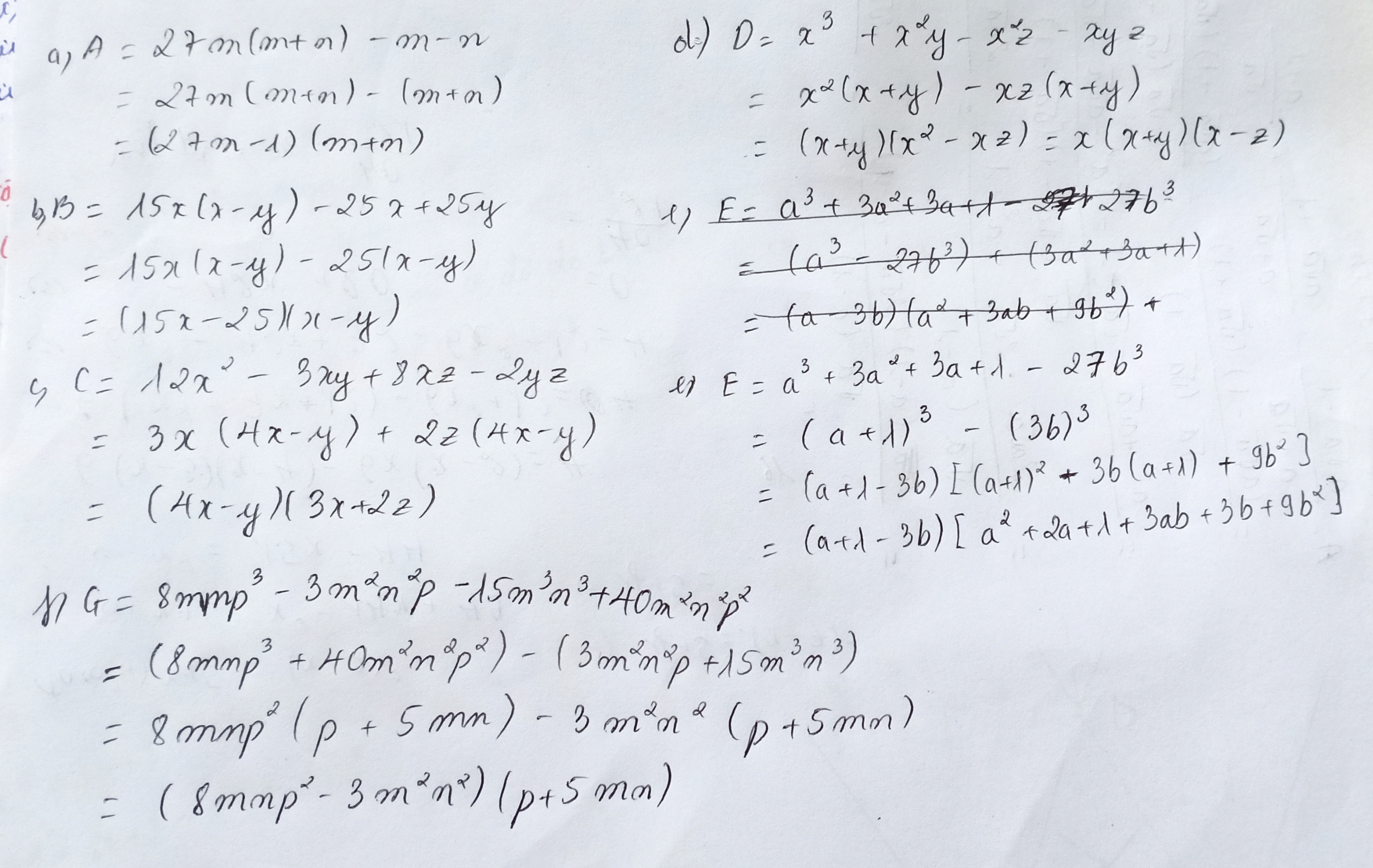
phân tích các đa thức
a) A=27m(m+n) -m-n
b) B=15x(x-y) -25x+25y
c) C=12x^2-3xy+8xz-2yz
d) D=x^3 +x^2y-x^2z-xyz
e) E=a^3+3a^2+3a+1-27b^3
g) G=8mnp^3 -3m^2n^2p-15m^3n^3+40m^2n^2p^2
Quảng cáo
1 câu trả lời 548
Quảng cáo
Bạn cần hỏi gì?
Câu hỏi hot cùng chủ đề
-
107437
-
Hỏi từ APP VIETJACK
Đã trả lời bởi chuyên gia
68061 -
Đã trả lời bởi chuyên gia
52846 -
Đã trả lời bởi chuyên gia
47344 -
Đã trả lời bởi chuyên gia
45400 -
Đã trả lời bởi chuyên gia
45045 -
Hỏi từ APP VIETJACK
Đã trả lời bởi chuyên gia
38412 -
Đã trả lời bởi chuyên gia
38191
Gửi báo cáo thành công!

