Phân tích đa thức thành nhân tử:
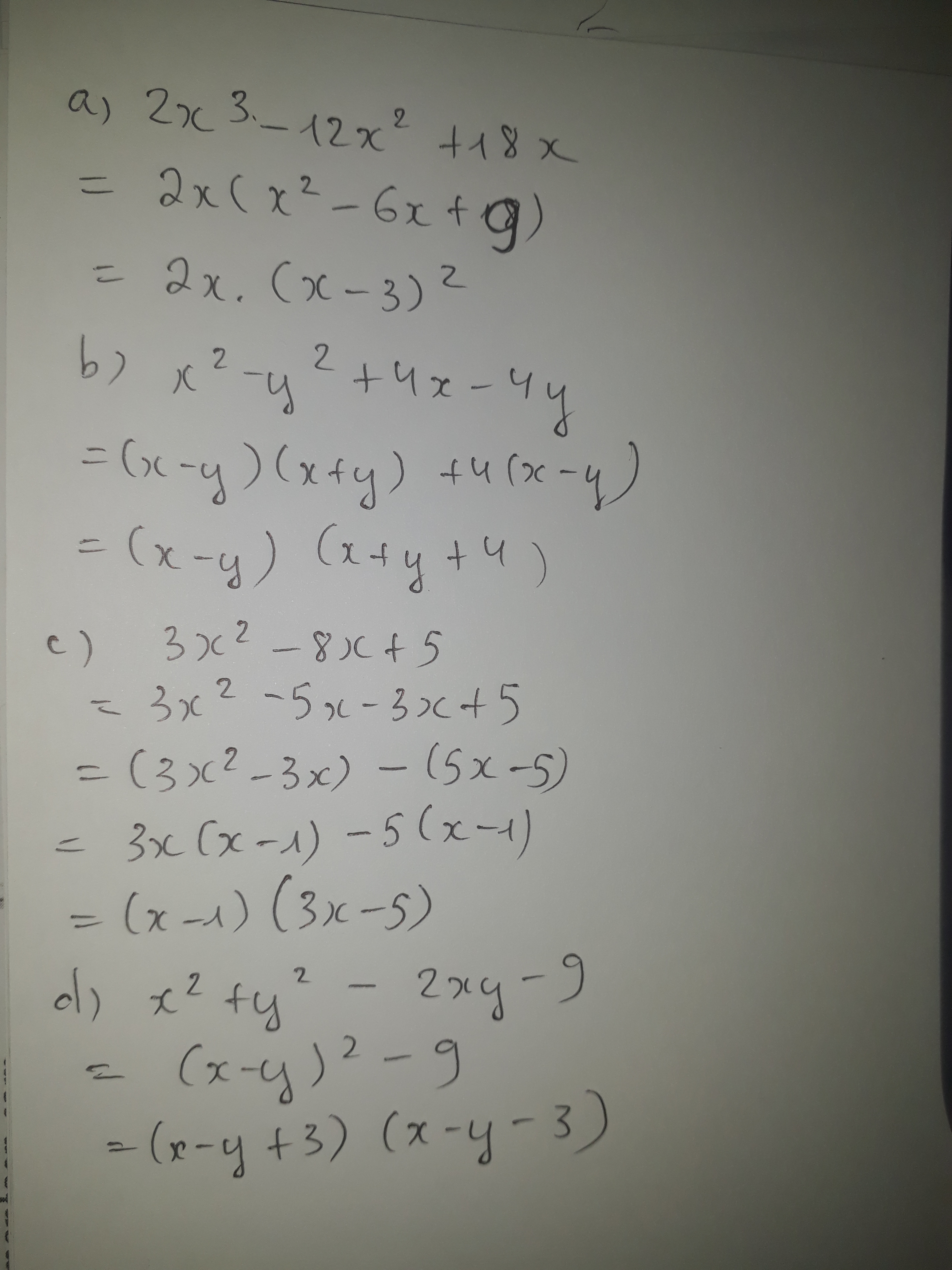
a, 2x^3 - 12x^2 + 18x
b, x^2 - y^2 +4x - 4y
c, 3x^2 - 8x + 5
d, x^2 + y^2 - 2xy - 9
Quảng cáo
1 câu trả lời 1045
Quảng cáo
Bạn muốn hỏi bài tập?
Câu hỏi hot cùng chủ đề
-
107151
-
Hỏi từ APP VIETJACK67580
-
44957
-
38162
Gửi báo cáo thành công!

