Tìm biết:
Quảng cáo
2 câu trả lời 3456
lời giải

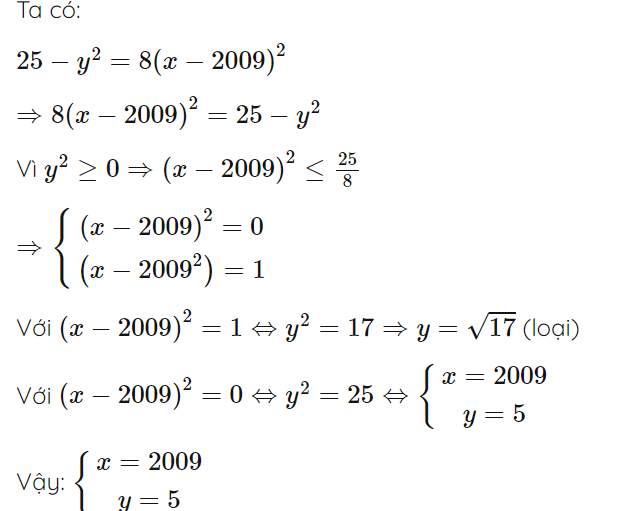
Ta có 8(x-2009)^2 = 25- y^2
8(x-2009)^2 + y^2 =25 (*)
Vì y^2 ≥≥ 0 nên (x-2009)^2≤258≤825 , suy ra (x-2009)^2 = 0 hoặc (x-2009)^2 =1
Với (x -2009)^2 =1 thay vào (*) ta có y^2 = 17 (loại)
Với (x- 2009)^2= 0 thay vào (*) ta có y^2 =25 suy ra y = 5 (do )
Từ đó tìm được (x=2009; y=5)
8(x-2009)^2 + y^2 =25 (*)
Vì y^2 ≥≥ 0 nên (x-2009)^2≤258≤825 , suy ra (x-2009)^2 = 0 hoặc (x-2009)^2 =1
Với (x -2009)^2 =1 thay vào (*) ta có y^2 = 17 (loại)
Với (x- 2009)^2= 0 thay vào (*) ta có y^2 =25 suy ra y = 5 (do )
Từ đó tìm được (x=2009; y=5)
Quảng cáo
Bạn cần hỏi gì?
Câu hỏi hot cùng chủ đề
-
12381
-
Đã trả lời bởi chuyên gia
5734 -
4829
Gửi báo cáo thành công!
