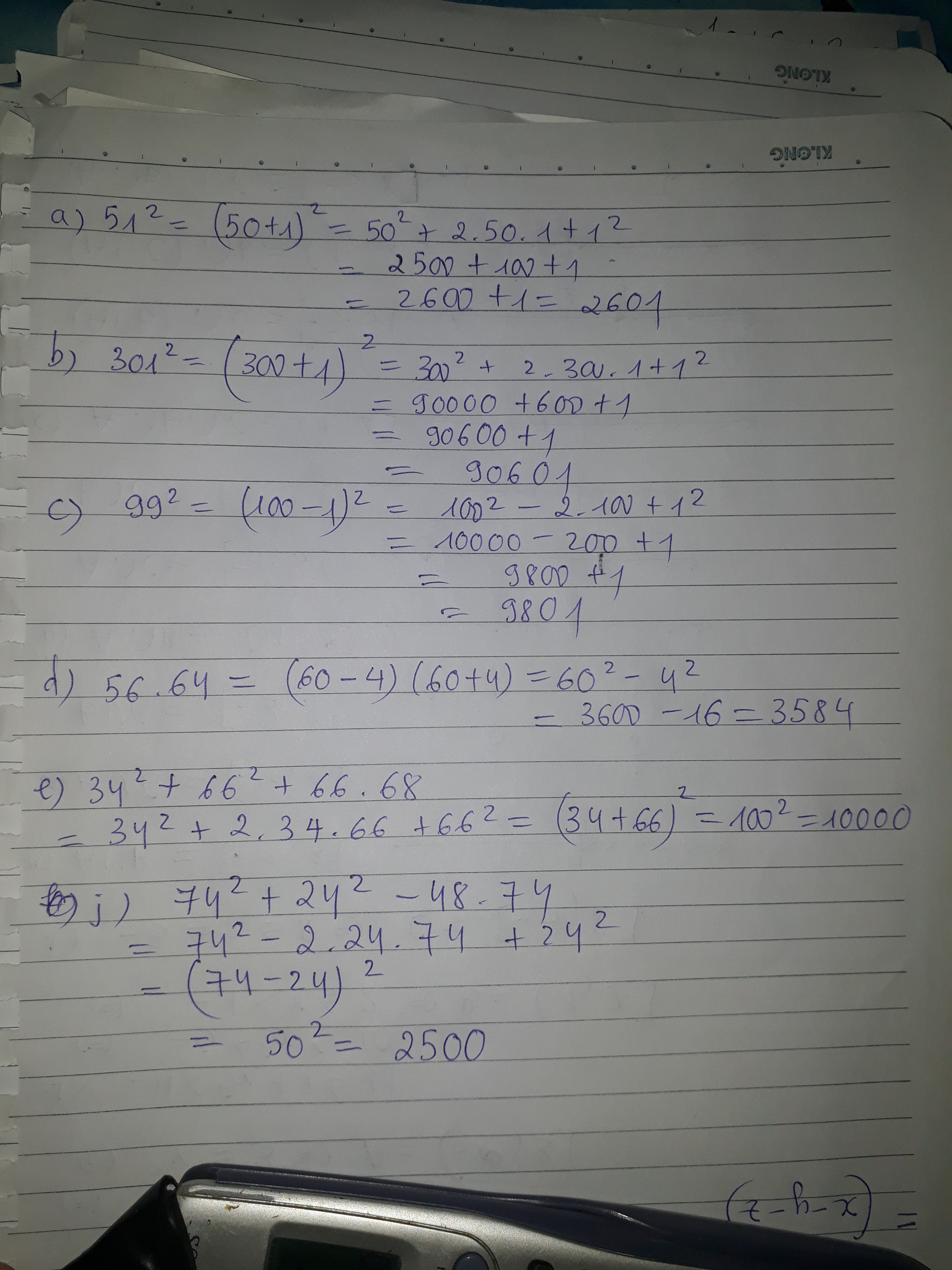
bài 1:tính nhanh
a,51 mũ 2
b,301 mũ 2
C,99 mũ 2
d,56.64
e,34 mũ 2+ 66 mũ 2+ 68 .66
J,74 mũ 2+ 24 mũ 2 - 48 .74
Quảng cáo
1 câu trả lời 2155
Quảng cáo
Bạn cần hỏi gì?
Câu hỏi hot cùng chủ đề
-
107437
-
Hỏi từ APP VIETJACK
Đã trả lời bởi chuyên gia
68061 -
Đã trả lời bởi chuyên gia
52846 -
Đã trả lời bởi chuyên gia
47344 -
Đã trả lời bởi chuyên gia
45400 -
Đã trả lời bởi chuyên gia
45045 -
Hỏi từ APP VIETJACK
Đã trả lời bởi chuyên gia
38412 -
Đã trả lời bởi chuyên gia
38191
Gửi báo cáo thành công!

