Hikari Tsuki
Hỏi từ APP VIETJACK
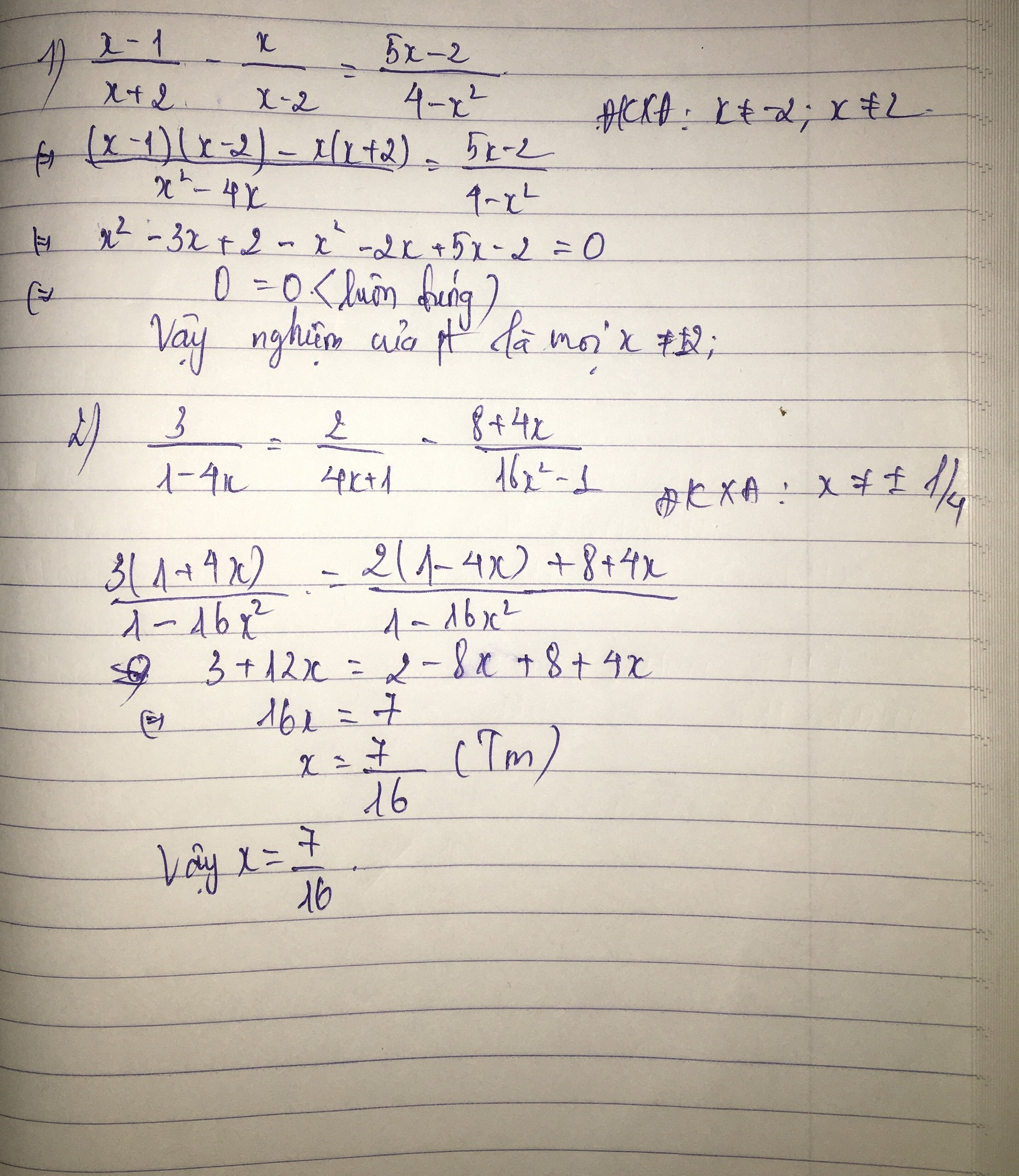
Giải các phương trình sau:
a, x-1/x+2 - x/x-2 = 5x-2/4-x²
b, 3/1-4x = 2/4x+1 - 8+4x/ 16x²-1
Quảng cáo
1 câu trả lời 3919
Quảng cáo
Bạn muốn hỏi bài tập?
Câu hỏi hot cùng chủ đề
-
107151
-
Hỏi từ APP VIETJACK67580
-
44957
-
38162
Gửi báo cáo thành công!

