Quảng cáo
2 câu trả lời 268
Quảng cáo
Bạn muốn hỏi bài tập?
Câu hỏi hot cùng chủ đề
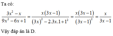
-
107151
-
Hỏi từ APP VIETJACK67580
-
44957
-
38162
Gửi báo cáo thành công!

