Quảng cáo
2 câu trả lời 13586
3 năm trước
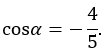
Bước 1: Xác định cos
Ta biết rằng:
![]()
Thay
vào, ta có:

Rút gọn:
![]()
Chuyển vế:

Do
, nên thuộc góc phần tư thứ III, tại đó
. Vậy:

—
Bước 2: Sử dụng công thức cộng góc
Công thức cộng góc của sin là:
![]()
Biết rằng:

Thay các giá trị vào công thức, ta có:

Rút gọn từng số hạng:

Kết hợp lại:
![]()
—
Kết luận
Giá trị của
là:

Trà My
· 1 năm trước
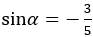
sinx=-3/5 với pi <x <3pi/2
3 năm trước
Ta có:cosa=
Do:cosa=
SinaCosb+CosaSinb
=
=
Quảng cáo
Bạn cần hỏi gì?
Câu hỏi hot cùng chủ đề
-
Đã trả lời bởi chuyên gia
89037 -
Đã trả lời bởi chuyên gia
59731 -
Hỏi từ APP VIETJACK
Đã trả lời bởi chuyên gia
58851 -
Đã trả lời bởi chuyên gia
50834 -
Hỏi từ APP VIETJACK
Đã trả lời bởi chuyên gia
48266 -
Đã trả lời bởi chuyên gia
38581
Gửi báo cáo thành công!
