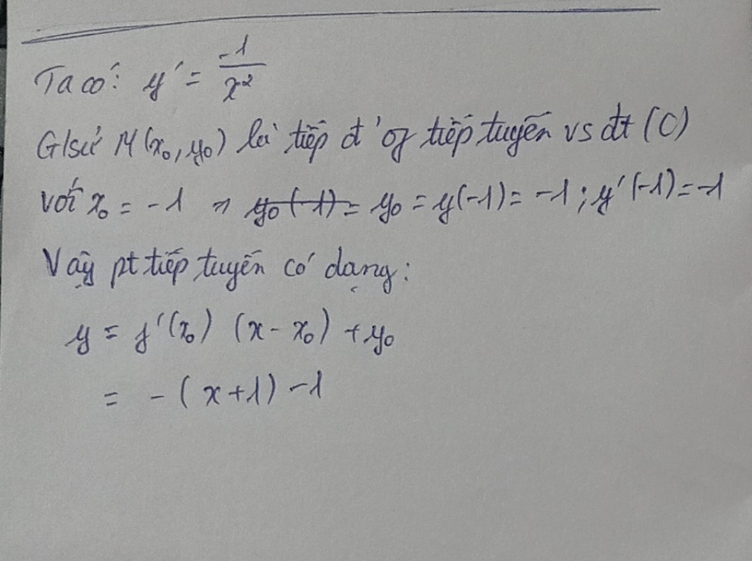
Viết phương trình tiếp tuyến của đường cong y=1/x tại điểm có hoành độ bằng -1
Quảng cáo
1 câu trả lời 2333
Quảng cáo
Bạn muốn hỏi bài tập?
Câu hỏi hot cùng chủ đề
-
Đã trả lời bởi chuyên gia
134838 -
Hỏi từ APP VIETJACK
Đã trả lời bởi chuyên gia
75920 -
Đã trả lời bởi chuyên gia
71641 -
Đã trả lời bởi chuyên gia
47575
Gửi báo cáo thành công!

