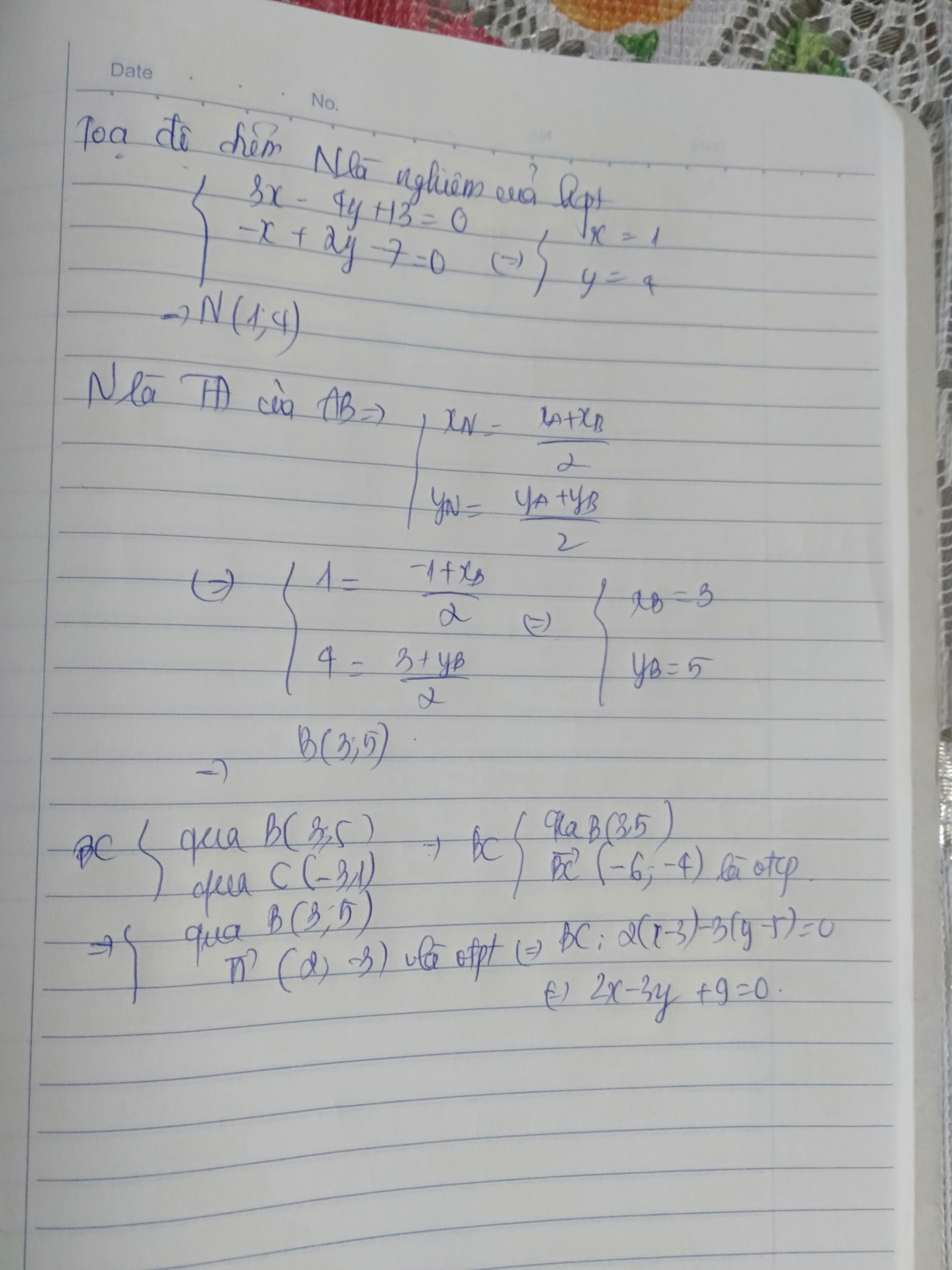
Cho tam giác ABC có M là trung điểm cạnh AC với M(-2;2). Đường trung tuyến và đường cao tại C lần lượt có phương trình là 3x-4y+13=0 và 2x+y+5=0 viết pt cạnh BC
Quảng cáo
3 câu trả lời 266
Quảng cáo
Bạn cần hỏi gì?
Câu hỏi hot cùng chủ đề
-
Đã trả lời bởi chuyên gia
89037 -
Đã trả lời bởi chuyên gia
59731 -
Hỏi từ APP VIETJACK
Đã trả lời bởi chuyên gia
58851 -
Đã trả lời bởi chuyên gia
50834 -
Hỏi từ APP VIETJACK
Đã trả lời bởi chuyên gia
48266 -
Đã trả lời bởi chuyên gia
38581
Gửi báo cáo thành công!


