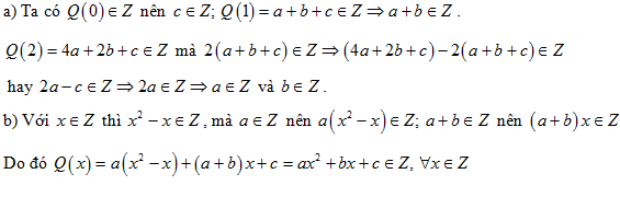
Cho đa thức với .
Biết là các số nguyên;
a) Chứng minh rằng c, a+b, 2a là các số nguyên;
b) Chứng minh rằng với mọi là số nguyên thì Q(x) luôn là một số nguyên.
Quảng cáo
1 câu trả lời 1776
4 năm trước

Hoàng Nam Phan
· 1 năm trước
Sao a vs b thuộc Z được hả bạn
Hoàng Nam Phan
· 1 năm trước
Nếu a=1/2 và b=1/2 thì sao?
Quảng cáo
Bạn muốn hỏi bài tập?
Câu hỏi hot cùng chủ đề
-
Hỏi từ APP VIETJACK120578
-
81263
-
59365
Gửi báo cáo thành công!
