Quảng cáo
2 câu trả lời 493
4 năm trước
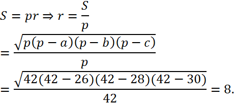
Ta có nửa chu vi của tam giác đã cho là:
P = (30 + 26 +28) : 2 = 42

Quảng cáo
Bạn muốn hỏi bài tập?
Câu hỏi hot cùng chủ đề
Gửi báo cáo thành công!
