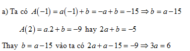
a) Tìm đa thức biết rằng và .
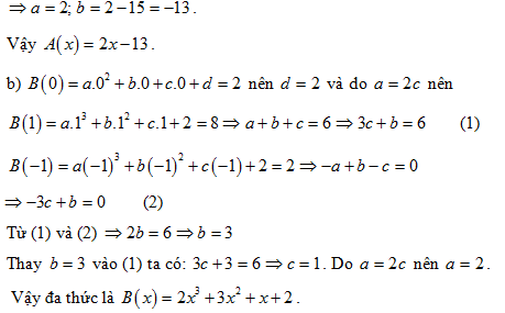
b) Tìm các hệ số a, b, c của đa thức
biết rằng và
Quảng cáo
1 câu trả lời 3303
Quảng cáo
Bạn muốn hỏi bài tập?
Câu hỏi hot cùng chủ đề
-
Hỏi từ APP VIETJACK120578
-
81263
-
59365
Gửi báo cáo thành công!


