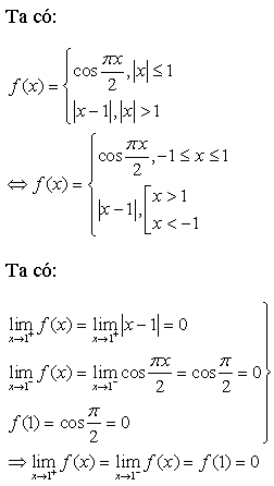
Cho hàm số . Khẳng định nào sau đây đúng nhất?
A. Hàm số liên tục tại x=1 và x= −1
B. Hàm số liên tục tại x=1, không liên tục tại điểm x= −1.
C. Hàm số không liên tục tại x=1 và x=−1.
D. Tất cả đều sai.
Quảng cáo
1 câu trả lời 2662
Quảng cáo
Bạn cần hỏi gì?
Câu hỏi hot cùng chủ đề
-
Đã trả lời bởi chuyên gia
134838 -
Hỏi từ APP VIETJACK
Đã trả lời bởi chuyên gia
75920 -
Đã trả lời bởi chuyên gia
71641 -
Đã trả lời bởi chuyên gia
47575
Gửi báo cáo thành công!


