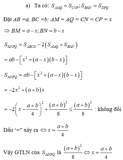
Cho hình chữ nhật ABCD. Trên các cạnh AB, BC, CD, DA lần lượt lấy các điểm M, N, P, Q sao cho AM = AQ = CN = CP. Xác định các điểm M, N, P, Q để:
a) Tứ giác MNPQ có diện tích lớn nhất. Tính diện tích lớn nhất đó.
b) Tứ giác MNPQ là hình thoi. Tính diện tích hình thoi đó khi AB = 14cm; BC = 6cm
Quảng cáo
1 câu trả lời 2396
Quảng cáo
Bạn muốn hỏi bài tập?
Câu hỏi hot cùng chủ đề
-
Hỏi từ APP VIETJACK120761
-
81498
-
59515
Gửi báo cáo thành công!



