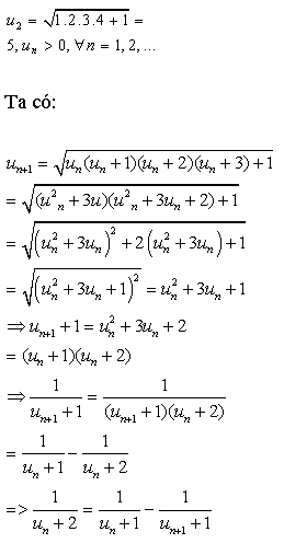
Cho dãy số xác định bởi . Đặt . Tính bằng?
A. +∞.
B. 0.
C.
D. 1.
Quảng cáo
1 câu trả lời 1134
Quảng cáo
Bạn cần hỏi gì?
Câu hỏi hot cùng chủ đề
-
Đã trả lời bởi chuyên gia
134901 -
Hỏi từ APP VIETJACK
Đã trả lời bởi chuyên gia
76057 -
Đã trả lời bởi chuyên gia
71711 -
Đã trả lời bởi chuyên gia
47598
Gửi báo cáo thành công!



