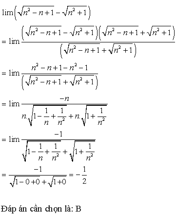
Giới hạn limn2-n+1-n2+1 bằng?
A. 0.
B. -12
C. -12
D. 12
Quảng cáo
Bạn muốn hỏi bài tập?
Tính đạo hàm của hàm số sau: y = cos2x
A: 2 cosx.sinx
B: -sin2 x
C: -sinx
D: Tất cả sai
Tìm các giới hạn sau :
A, lim 2n2-3n+5n2+4
B, lim -n3+2n+6n3-1
Phân tích cos4x
Cho cấp số nhân có u2=14 ; u5=16. Tìm q và u1
A.q=12; u1=12.
B.q=−12; u1=−12.
C.q=4; u1=116.
D.q=−4; u1=−116.
Cho cấp số cộng (un) thỏa u2−u3+u5=10u4+u6=26
Tính S=u1+u4+u7+...+u2011
A.S=673015
B.S=6734134
C.S=673044
D.S = 141
Giới hạn lim1+2+3+...+nn2+2 có giá trị bằng
A. 12
B. 2
C. 1
D. +∞
Cho cấp số nhân (un) biết u1+u5=51;u2+u6=102 . Hỏi số 12288 là số hạng thứ mấy của cấp số nhân (un) ?
A. Số hạng thứ 10
B. Số hạng thứ 11
C. Số hạng thứ 12
D. Số hạng thứ 13
Cho lăng trụ đứng ABC.A'B'C' có đáy ABC là tam giác vuông tại B, AB=a, AA' = 2a Tính khoảng cách từ điểm A đến mặt phẳng (A'BC)
A. 25a
B. 25a5
C. 5a5
D. 35a5
Phương trình 3sinx - cos x = 1
tương đương với phương trình nào sau đây?