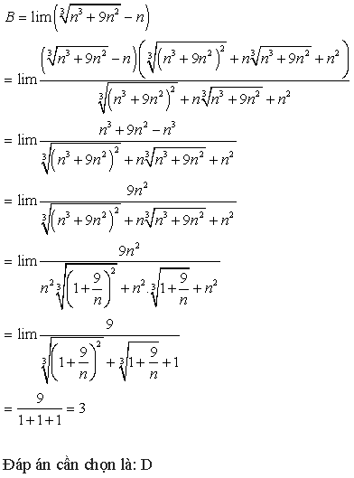
Giá trị của bằng:
A. +∞
B. −∞
C. 0
D. 3
Quảng cáo
1 câu trả lời 551
Quảng cáo
Bạn muốn hỏi bài tập?
Câu hỏi hot cùng chủ đề
Gửi báo cáo thành công!
Giá trị của bằng:
A. +∞
B. −∞
C. 0
D. 3
Quảng cáo
Quảng cáo
Bạn muốn hỏi bài tập?