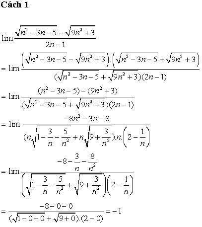
Câu hỏi : Giới hạn bằng?
A. .
B. .
C. 1.
D. −1.
Quảng cáo
2 câu trả lời 370
Quảng cáo
Bạn muốn hỏi bài tập?
Câu hỏi hot cùng chủ đề
Gửi báo cáo thành công!
Câu hỏi : Giới hạn bằng?
A. .
B. .
C. 1.
D. −1.
Quảng cáo
Quảng cáo
Bạn muốn hỏi bài tập?