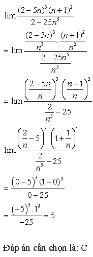
Câu hỏi : Giới hạn bằng?
A. −4.
B. −1.
C. 5.
D. .
Quảng cáo
1 câu trả lời 309
Quảng cáo
Bạn muốn hỏi bài tập?
Câu hỏi hot cùng chủ đề
Gửi báo cáo thành công!
Câu hỏi : Giới hạn bằng?
A. −4.
B. −1.
C. 5.
D. .
Quảng cáo
Quảng cáo
Bạn muốn hỏi bài tập?