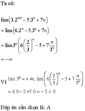
Câu hỏi: Giới hạn bằng :
A. −∞.
B. +∞.
C. 3.
D. −5.
Quảng cáo
1 câu trả lời 272
Quảng cáo
Bạn muốn hỏi bài tập?
Câu hỏi hot cùng chủ đề
Gửi báo cáo thành công!
Câu hỏi: Giới hạn bằng :
A. −∞.
B. +∞.
C. 3.
D. −5.
Quảng cáo
Quảng cáo
Bạn muốn hỏi bài tập?