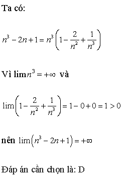
Câu hỏi: Giá trị bằng
A. 0
B. 1
C. −∞
D. +∞
Quảng cáo
1 câu trả lời 248
Quảng cáo
Bạn muốn hỏi bài tập?
Câu hỏi hot cùng chủ đề
Gửi báo cáo thành công!
Câu hỏi: Giá trị bằng
A. 0
B. 1
C. −∞
D. +∞
Quảng cáo
Quảng cáo
Bạn muốn hỏi bài tập?