Quảng cáo
2 câu trả lời 4581
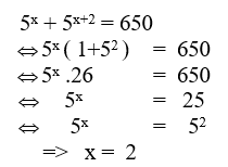
5^x+5^x+2=650
5^x+5^x.5^2=650
5^x.26=650
5^x=25
x=2
Vậy x=2
Quảng cáo
Bạn cần hỏi gì?
Câu hỏi hot cùng chủ đề
-
Hỏi từ APP VIETJACK120962
-
Đã trả lời bởi chuyên gia
81713 -
Đã trả lời bởi chuyên gia
59651 -
Đã trả lời bởi chuyên gia
39669
Gửi báo cáo thành công!

