Quảng cáo
3 câu trả lời 10951
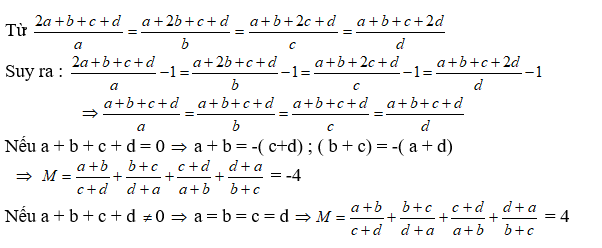
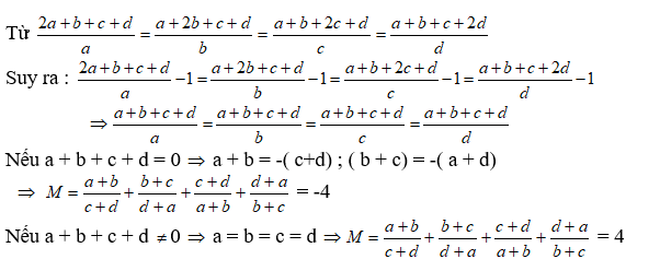
2a+b+c+da=a+2b+c+db=a+b+2c+dc=a+b+c+2dd=5(a+b+c+d)a+b+c+d=5→2a+b+c+d=5a;a+2b+c+d=5b;a+b+2c+d=5c;a+b+c+2d=5d→a=b=c=d→a+bc+d+b+cd+a+c+da+b+d+ab+c=1+1+1+1=4
Quảng cáo
Bạn muốn hỏi bài tập?
Câu hỏi hot cùng chủ đề
-
Hỏi từ APP VIETJACK120578
-
81263
-
59365
Gửi báo cáo thành công!


đây nha