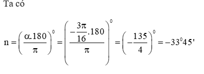
Đổi số đo của góc rad sang đơn vị độ, phút, giây.
A.
B.
C.
D.
Quảng cáo
1 câu trả lời 2684
Quảng cáo
Bạn muốn hỏi bài tập?
Câu hỏi hot cùng chủ đề
Gửi báo cáo thành công!
Đổi số đo của góc rad sang đơn vị độ, phút, giây.
A.
B.
C.
D.
Quảng cáo
Quảng cáo
Bạn muốn hỏi bài tập?