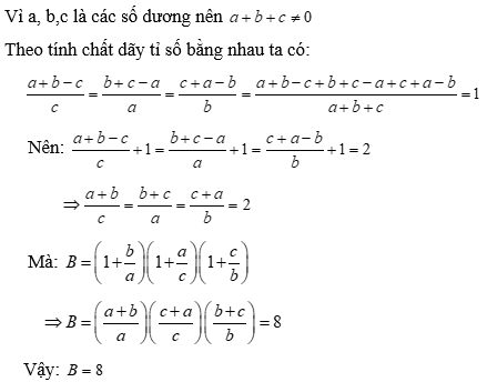
Cho a, b, c là ba số thực dương thỏa mãn điều kiện
Hãy tính giá trị của biểu thức
Quảng cáo
1 câu trả lời 6419
Quảng cáo
Bạn muốn hỏi bài tập?
Câu hỏi hot cùng chủ đề
-
Hỏi từ APP VIETJACK120962
-
Đã trả lời bởi chuyên gia
81713 -
Đã trả lời bởi chuyên gia
59651 -
Đã trả lời bởi chuyên gia
39669
Gửi báo cáo thành công!

