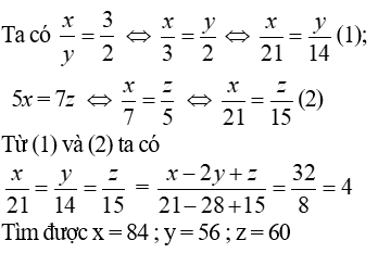
Tìm x; y; z biết ; 5x = 7z và x – 2y + z = 32
Quảng cáo
1 câu trả lời 5257
Quảng cáo
Bạn muốn hỏi bài tập?
Câu hỏi hot cùng chủ đề
-
Hỏi từ APP VIETJACK120761
-
81498
-
59515
Gửi báo cáo thành công!

