Cho tam giác ABC đều. Tia phân giác góc B cắt AC tại M. Từ A kẻ đường thẳng vuông góc với AB cắt BM, BC tại N,E. Chứng minh:
a) Tam giác ANC cân.
b) NCBC
c) Xác định dạng của tam giác BNE
d) NC là trung trực của BE
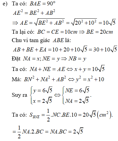
e) Cho AB=10cm. Tính diện tích tam giác BNE và chu vi tam giác ABE.
Quảng cáo
1 câu trả lời 12848
Quảng cáo
Bạn cần hỏi gì?
Câu hỏi hot cùng chủ đề
-
Hỏi từ APP VIETJACK120962
-
Đã trả lời bởi chuyên gia
81713 -
Đã trả lời bởi chuyên gia
59651 -
Đã trả lời bởi chuyên gia
39669
Gửi báo cáo thành công!




