Changg
· 3 năm trước
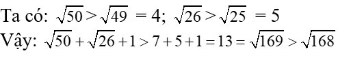
So sánh cbhsh của 26+cbhsh của 50 và 12
Quảng cáo
1 câu trả lời 2877
Quảng cáo
Bạn cần hỏi gì?
Câu hỏi hot cùng chủ đề
-
Hỏi từ APP VIETJACK120962
-
Đã trả lời bởi chuyên gia
81713 -
Đã trả lời bởi chuyên gia
59651 -
Đã trả lời bởi chuyên gia
39669
Gửi báo cáo thành công!

