Hai thanh kim loại một bằng sắt và một bằng kẽm ở 0°C có chiều dài bằng nhau còn ở 100°C thì chiều dài chênh lệch nhau 4 mm. Tìm chiều dài hai thanh ở 0°C biết hệ số nở dài của sắt và kẽm là 1,14.10^-5 K^-1 và 3,41.10^-5K^-1.
Quảng cáo
1 câu trả lời 823
5 năm trước
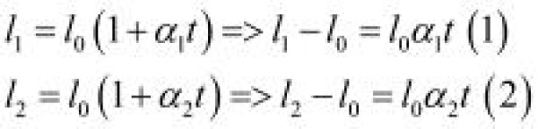
Gọi l1,l2 lần lượt là chiều dài của thanh sắt và thanh kẽm ở 100°C:

lấy (2) trừ (1) theo vế)
l2-l1=l0.t.(2-1)
Suy ra l0 xấp xỉ bằng 1,77m
Quảng cáo
Bạn cần hỏi gì?
Câu hỏi hot cùng chủ đề
-
Đã trả lời bởi chuyên gia
150419 -
97575
-
Hỏi từ APP VIETJACK
Đã trả lời bởi chuyên gia
59053
Gửi báo cáo thành công!
