Quảng cáo
1 câu trả lời 13333
Giải chi tiết:
Bước 1: Sử dụng hằng đẳng thức lượng giác
Dựa vào tính chất:
![]()
Áp dụng cho phương trình:
![]()
Bước 2: Xét từng trường hợp
Trường hợp 1: 3x = 2x = k2
Rút gọn:
![]()
Trường hợp 2: 3x = - 2x + k2
Rút gọn:
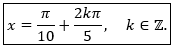
![]()
Chia hai vế cho 5:
![]()
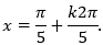
Bước 3: Tổng hợp nghiệm
Kết hợp cả hai trường hợp:
,
.
Do tính chất tuần hoàn của hàm sin và cos, nghiệm tổng quát là:
![]()
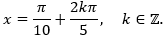
Kết luận:
Phương trình có nghiệm:
![]()
Quảng cáo
Bạn cần hỏi gì?
Câu hỏi hot cùng chủ đề
-
Đã trả lời bởi chuyên gia
134838 -
Hỏi từ APP VIETJACK
Đã trả lời bởi chuyên gia
75920 -
Đã trả lời bởi chuyên gia
71641 -
Đã trả lời bởi chuyên gia
47575
Gửi báo cáo thành công!
