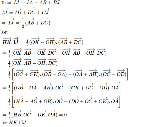
cho tứ giác ABCD, hai đường chéo cắt nhau tại O. Gọi H và K lầ lượt là trực tâm tam giác ABO và CDO. I , J tương ứng là cái trung điểm AD và BC. chứng minh HK vuông góc với IJ
Quảng cáo
1 câu trả lời 16779

,
Vu Thi Tram Anh
· 2 năm trước
Ủa sao dòng đầu tiên đoạn ij lại bằng ia.... đượcc đoạn thẳng mà:((
Quảng cáo
Bạn cần hỏi gì?
Câu hỏi hot cùng chủ đề
-
Đã trả lời bởi chuyên gia
90154 -
Đã trả lời bởi chuyên gia
60253 -
Hỏi từ APP VIETJACK
Đã trả lời bởi chuyên gia
59576 -
Đã trả lời bởi chuyên gia
51190 -
Hỏi từ APP VIETJACK
Đã trả lời bởi chuyên gia
48699 -
Đã trả lời bởi chuyên gia
38997
Gửi báo cáo thành công!
