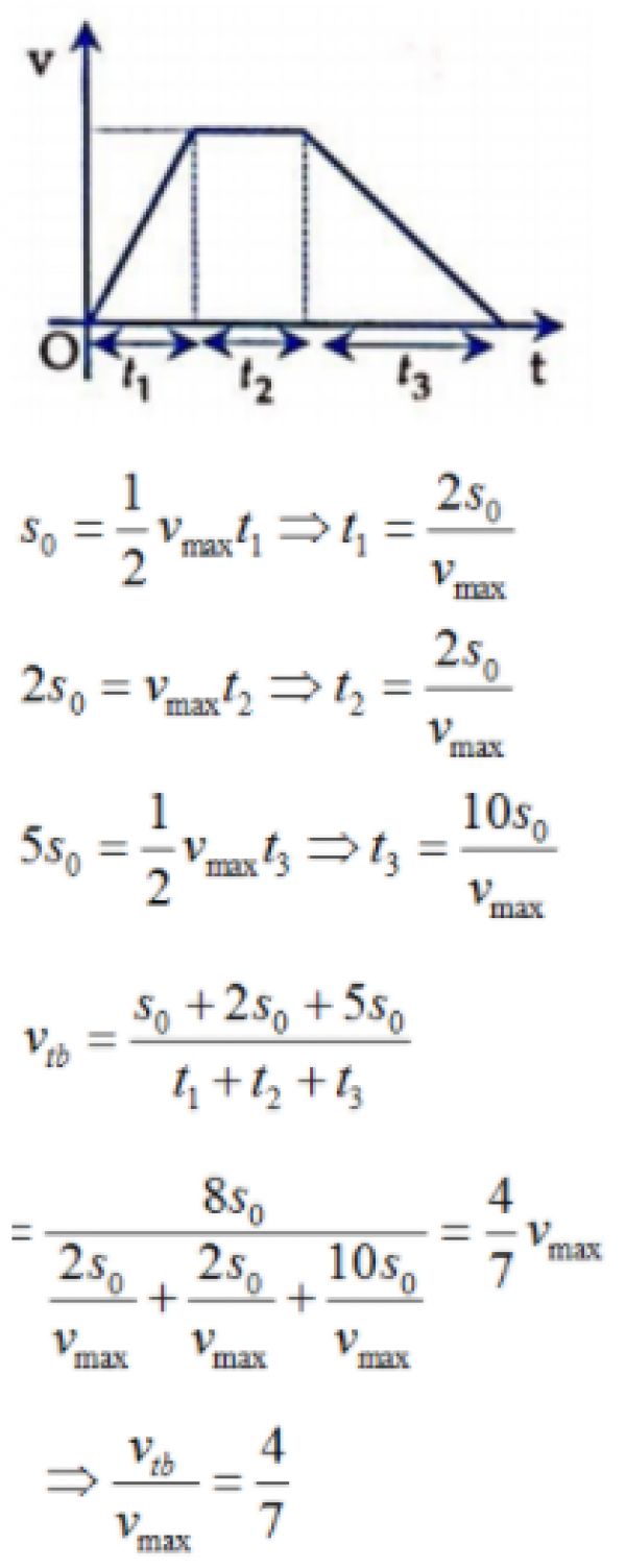
Một vật chuyển động thẳng và không đổi chiều chuyển động .Đầu tiên vật chuyển động NDĐ với vận tốc đầu bằng 0 trong quãng đường s0 ; tiếp theo vật chuyển động trong quãng đường 2s0 ; và cuối cùng vật chuyển động CDĐ và dừng lại sau khi đi thêm được quãng đường 5s0. Tỉ số giữa tốc độ trung bình và tốc độ cực đại Vmax của vật là bao nhiêu ?
Lm ơn giúp mik vs mn ơi
Quảng cáo
1 câu trả lời 1315
5 năm trước

Chú ý: Vật chuyển động gồm ba giai đoạn (như hình vẽ): nhanh dần – đều – chậm dần đều ta có công thức
Quang Nguyễn
· 5 năm trước
cảm ơn nhiều ạ
Quảng cáo
Bạn muốn hỏi bài tập?
Câu hỏi hot cùng chủ đề
-
150255
-
97543
-
Hỏi từ APP VIETJACK59014
Gửi báo cáo thành công!
