Quảng cáo
1 câu trả lời 2157
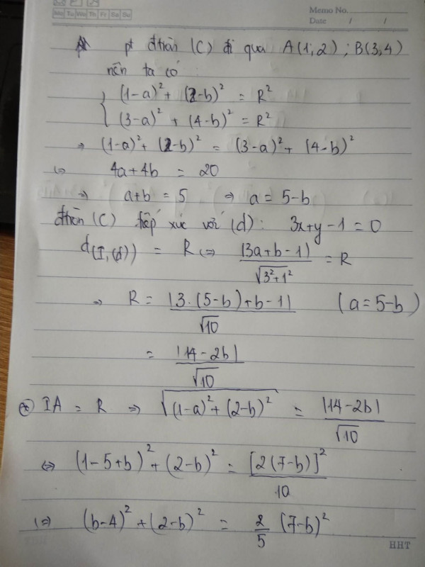
Gọi tâm đường tròn (C) là I (a,b)
pt đg tròn (C):



Quảng cáo
Bạn cần hỏi gì?
Câu hỏi hot cùng chủ đề
-
Đã trả lời bởi chuyên gia
90495 -
Đã trả lời bởi chuyên gia
60475 -
Hỏi từ APP VIETJACK
Đã trả lời bởi chuyên gia
59779 -
Đã trả lời bởi chuyên gia
51365 -
Hỏi từ APP VIETJACK
Đã trả lời bởi chuyên gia
48884 -
Đã trả lời bởi chuyên gia
39205
Gửi báo cáo thành công!
