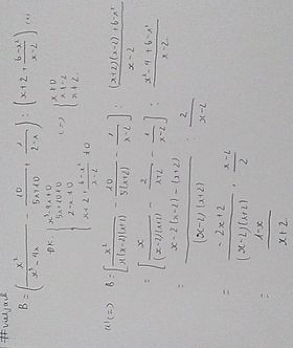
B=(x^2/x^3-4x-10/5x+10+1/2-x):(x+2+6-x^2/x-2)
a) Rút gọn B
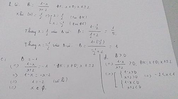
b) Tính giá trị của biết giá trị tuyệt đối của x = 1/2
c) Tìm x biết : B=-1
d) Tìm x để B >0
Quảng cáo
2 câu trả lời 2312
Quảng cáo
Bạn cần hỏi gì?
Câu hỏi hot cùng chủ đề
-
107593
-
Hỏi từ APP VIETJACK
Đã trả lời bởi chuyên gia
68300 -
Đã trả lời bởi chuyên gia
52884 -
Đã trả lời bởi chuyên gia
47390 -
Đã trả lời bởi chuyên gia
45461 -
Đã trả lời bởi chuyên gia
45109 -
Hỏi từ APP VIETJACK
Đã trả lời bởi chuyên gia
38488 -
Đã trả lời bởi chuyên gia
38230
Gửi báo cáo thành công!


