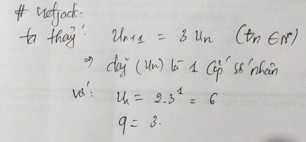
Cho dãy (un)=2×3^n .chứng minh dãy lập thành csn .tìm u1 và q
Quảng cáo
1 câu trả lời 781
Quảng cáo
Bạn cần hỏi gì?
Câu hỏi hot cùng chủ đề
-
Đã trả lời bởi chuyên gia
135811 -
Hỏi từ APP VIETJACK
Đã trả lời bởi chuyên gia
76821 -
Đã trả lời bởi chuyên gia
72481 -
Đã trả lời bởi chuyên gia
47959
Gửi báo cáo thành công!

