Quảng cáo
3 câu trả lời 142
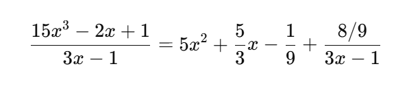
15x3−2x+13x−1\frac{15x^3 - 2x + 1}{3x - 1}3x−115x3−2x+1
Chia từng bước:
15x3:3x=5x215x^3 : 3x = 5x^215x3:3x=5x2
→ Nhân lại: 5x2(3x−1)=15x3−5x25x^2(3x - 1) = 15x^3 - 5x^25x2(3x−1)=15x3−5x2
→ Trừ: còn 5x2−2x5x^2 - 2x5x2−2x
5x2:3x=frac53x5x^2 : 3x = \\frac{5}{3}x5x2:3x=frac53x
→ Nhân: frac53x(3x−1)=5x2−frac53x\\frac{5}{3}x(3x - 1) = 5x^2 - \\frac{5}{3}xfrac53x(3x−1)=5x2−frac53x
→ Trừ: còn −2x+frac53x=−frac13x -2x + \\frac{5}{3}x = -\\frac{1}{3}x−2x+frac53x=−frac13x
−frac13x:3x=−frac19-\\frac{1}{3}x : 3x = -\\frac{1}{9}−frac13x:3x=−frac19
→ Nhân: −frac19(3x−1)=−frac13x+frac19-\\frac{1}{9}(3x - 1) = -\\frac{1}{3}x + \\frac{1}{9}−frac19(3x−1)=−frac13x+frac19
→ Trừ: còn 1−frac19=frac891 - \\frac{1}{9} = \\frac{8}{9}1−frac19=frac89
Quảng cáo
Bạn cần hỏi gì?
Câu hỏi hot cùng chủ đề
-
Hỏi từ APP VIETJACK136722
-
Đã trả lời bởi chuyên gia
84437 -
Đã trả lời bởi chuyên gia
64663 -
Đã trả lời bởi chuyên gia
40969 -
Đã trả lời bởi chuyên gia
38371

Có viết lộn đề không?