Cho tam giác đều ABC cạnh a. Trên các cạnh AB, AC lần lượt lấy các điểm D và E sao cho AD = CE. Tìm giá trị nhỏ nhất của độ dài DE.
làm rõ từng bước
Quảng cáo
3 câu trả lời 189
1. Dữ kiện bài toán
△ABC đều, cạnh a.
Trên cạnh AB, lấy điểm D sao cho AD = x.
Trên cạnh AC, lấy điểm E sao cho CE = x.
(tức là AE = a − x).
Yêu cầu: Tìm giá trị nhỏ nhất của độ dài DE theo a.
2. Thiết lập hệ trục tọa độ
Đặt hệ trục tọa độ cho tiện tính toán:

Đặt hệ trục tọa độ cho tiện tính toán:

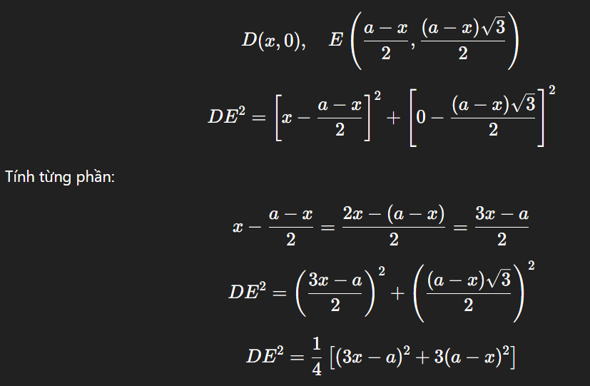
3. Tìm tọa độ các điểm D và E
Điểm D trên AB: A(0,0) → B(a,0) ⇒ D(x,0)(vì AD = x).
4. Tính độ dài DE
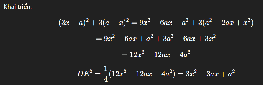
5. Rút gọn biểu thức
6. Tối thiểu hóa DE
7. Tính giá trị nhỏ nhất
Vậy: DEmin = khi AD = CE =
1 tháng trước
| a |
| 2 |
Hoa Nguyen
· 1 tháng trước
làm rõ
하루토 [팜 안 둥]
· 1 tháng trước
chịu
하루토 [팜 안 둥]
· 1 tháng trước
ko rảnh
NDuckDuy
· 1 tháng trước
nhô=))
NDuckDuy
· 1 tháng trước
tự nhiên nổi hứng đổi lịch hopcj đến 12h=))
NDuckDuy
· 1 tháng trước
hợ hợ
NDuckDuy
· 1 tháng trước
con bn cx hịc tiếng trung thì 2h sáng nó mới dậy học,1 đứa htuwcs khua,1 đứa dậy sớm🤕🤡
NDuckDuy
· 1 tháng trước
*học
하루토 [팜 안 둥]
· 1 tháng trước
ồ
하루토 [팜 안 둥]
· 1 tháng trước
vl
하루토 [팜 안 둥]
· 1 tháng trước
t cx ngồi học đến sáng
NDuckDuy
· 1 tháng trước
😥
NDuckDuy
· 1 tháng trước
meet học k?
NDuckDuy
· 1 tháng trước
hai đứa trình chiếu màn hình máy mình,thế thoii
하루토 [팜 안 둥]
· 1 tháng trước
ngứa mõm😐😐
하루토 [팜 안 둥]
· 1 tháng trước
quá
NDuckDuy
· 1 tháng trước
học k?
NDuckDuy
· 1 tháng trước
meet nhá?
NDuckDuy
· 1 tháng trước
thic thì show mặt hoặc giọng,k thic thì thoi,chiếu màn hình máy mình lên,v thoi
NDuckDuy
· 1 tháng trước
meet k t tạo phòng?
하루토 [팜 안 둥]
· 1 tháng trước
thôi,bj bắt đi ngủ r
하루토 [팜 안 둥]
· 1 tháng trước
off nha,bb
NDuckDuy
· 1 tháng trước
🤡🤡🤡🤡
NDuckDuy
· 1 tháng trước
th thì
NDuckDuy
· 1 tháng trước
cày 1 mình☺
하루토 [팜 안 둥]
· 1 tháng trước
😏😏,nay cs j
Quảng cáo
Bạn cần hỏi gì?
Câu hỏi hot cùng chủ đề
-
Đã trả lời bởi chuyên gia
9895 -
Đã trả lời bởi chuyên gia
7691
Gửi báo cáo thành công!
