Nhu Y Nguyễn
Hỏi từ APP VIETJACK
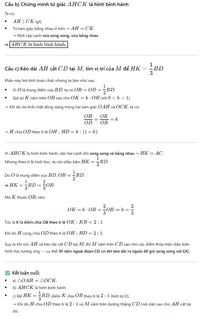
Cho hình bình hành ABCD và O là giao điểm của hai đường chéo trên OB lấy điểm K qua a kẻ đường thẳng song song với ck cắt OD tại H a chứng minh tam giác oah bằng tam giác ock B Chứng minh tứ giác ahck là hình bình hành C kéo dài ah cắt CD tại m xác định vị trí của M trên cạnh CD để HK bằng 1/3 BD
Quảng cáo
2 câu trả lời 769


cre: <là Nguyễn Y Vân>
Vẫn y nguyên :) vẫn là cẻ: Chatgpt
Quảng cáo
Bạn cần hỏi gì?
Câu hỏi hot cùng chủ đề
-
111733
-
Hỏi từ APP VIETJACK
Đã trả lời bởi chuyên gia
72060 -
Đã trả lời bởi chuyên gia
53979 -
Đã trả lời bởi chuyên gia
48286 -
Đã trả lời bởi chuyên gia
47006 -
Đã trả lời bởi chuyên gia
46491 -
Hỏi từ APP VIETJACK
Đã trả lời bởi chuyên gia
41069 -
Đã trả lời bởi chuyên gia
39173
Gửi báo cáo thành công!
