Sin 3x = -Sin 5x
Quảng cáo
2 câu trả lời 310

= >Giải từng phương trình
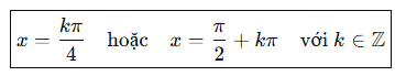
sin(4x) = 0 => 4x = kπ (k ∈ Z) => x =
sin(4x) = 0 => 4x = kπ (k ∈ Z) => x =
cosx = 0 => x = + mπ (m ∈ Z)
Vậy x = hoặc x = , k, m Z
Vậy x = hoặc x = , k, m Z
Quảng cáo
Bạn cần hỏi gì?
Câu hỏi hot cùng chủ đề
-
Đã trả lời bởi chuyên gia
135811 -
Hỏi từ APP VIETJACK
Đã trả lời bởi chuyên gia
76821 -
Đã trả lời bởi chuyên gia
72481 -
Đã trả lời bởi chuyên gia
47959
Gửi báo cáo thành công!

